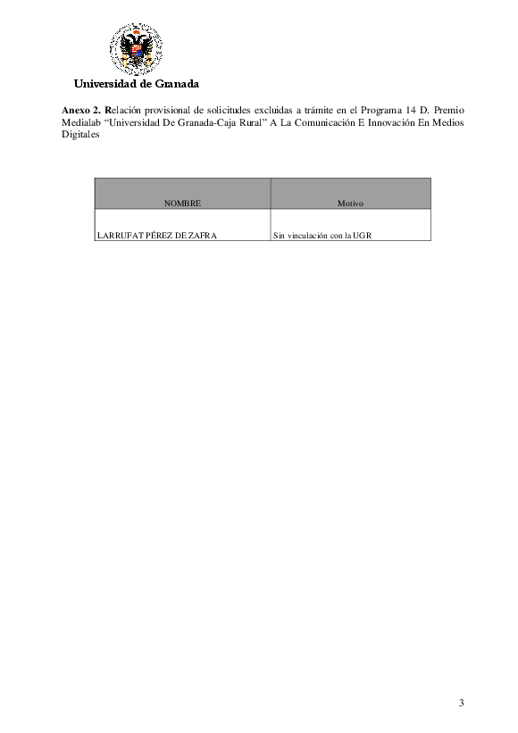
P14D_prov_admexcl
Universidad de Granada
|
Vicerrectorado de Investigación y Transferencia
|
Administración electrónica
P14D_prov_admexcl
Oficina Web UGR
Nombre
Tamaño
Descargar
P14D_prov_admexcl .pdf
95,1KB (97397 bytes)
Descargar
Ir a página:
Anterior
1
2
3
Siguiente
Aumentar
Alejar